728x90
https://www.acmicpc.net/problem/1991
1991번: 트리 순회
첫째 줄에는 이진 트리의 노드의 개수 N(1≤N≤26)이 주어진다. 둘째 줄부터 N개의 줄에 걸쳐 각 노드와 그의 왼쪽 자식 노드, 오른쪽 자식 노드가 주어진다. 노드의 이름은 A부터 차례대로 영문자 대문자로 매겨지며, 항상 A가 루트 노드가 된다. 자식 노드가 없는 경우에는 .으로 표현된다.
www.acmicpc.net
트리 순회
시간 제한메모리 제한제출정답맞은 사람정답 비율
| 2 초 | 128 MB | 14895 | 9111 | 6959 | 62.790% |
문제
이진 트리를 입력받아 전위 순회(preorder traversal), 중위 순회(inorder traversal), 후위 순회(postorder traversal)한 결과를 출력하는 프로그램을 작성하시오.

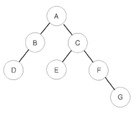
예를 들어 위와 같은 이진 트리가 입력되면,
- 전위 순회한 결과 : ABDCEFG // (루트) (왼쪽 자식) (오른쪽 자식)
- 중위 순회한 결과 : DBAECFG // (왼쪽 자식) (루트) (오른쪽 자식)
- 후위 순회한 결과 : DBEGFCA // (왼쪽 자식) (오른쪽 자식) (루트)
가 된다.
입력
첫째 줄에는 이진 트리의 노드의 개수 N(1≤N≤26)이 주어진다. 둘째 줄부터 N개의 줄에 걸쳐 각 노드와 그의 왼쪽 자식 노드, 오른쪽 자식 노드가 주어진다. 노드의 이름은 A부터 차례대로 영문자 대문자로 매겨지며, 항상 A가 루트 노드가 된다. 자식 노드가 없는 경우에는 .으로 표현된다.
출력
첫째 줄에 전위 순회, 둘째 줄에 중위 순회, 셋째 줄에 후위 순회한 결과를 출력한다. 각 줄에 N개의 알파벳을 공백 없이 출력하면 된다.
<풀이>
1.구현.
#include<iostream>
using namespace std;
void preorder(int x);
void inorder(int x);
void postorder(int x);
struct Node
{
int left;
int right;
};
Node a[30];
int main(void)
{
int n;
cin >> n;
for (int i = 1; i <= n; ++i)
{
char x, y, z;
cin >> x >> y >> z;
//root == 0
x = x - 'A';
//left
if (y == '.')
a[x].left = -1;
else
a[x].left = y - 'A';
//right
if (z == '.')
a[x].right = -1;
else
a[x].right = z - 'A';
}
preorder(0);
cout << '\n';
inorder(0);
cout << '\n';
postorder(0);
cout << '\n';
return 0;
}
void postorder(int x)
{
if (x == -1) return;
postorder(a[x].left);
postorder(a[x].right);
cout << (char)(x + 'A');
}
void inorder(int x)
{
if (x == -1) return;
inorder(a[x].left);
cout << (char)(x + 'A');
inorder(a[x].right);
}
void preorder(int x)
{
if (x == -1) return;
cout << (char)(x + 'A');
preorder(a[x].left);
preorder(a[x].right);
}300x250
'Algorithm > 완전탐색(BruteForce)' 카테고리의 다른 글
| 2669 직사각형 네개의 합집합의 면적 구하기 (0) | 2020.03.09 |
|---|---|
| 1339 단어 수학 (0) | 2020.03.09 |
| 10974 모든 순열 (0) | 2020.03.06 |
| 7568 덩치 (0) | 2020.03.05 |
| 2231 분해합 (0) | 2020.03.05 |
댓글